地址 : 吉林省长春净月国家高新技术产业开发区 福祉大路1016号 | 邮编 : 130122 | 联系电话 : 0431-84528427
©2017-2024长春工业大学人文信息学院All Right Reserved.

春日暖阳分外娇,燕雀轻唱柳枝梢。在这浓浓春意里,我校第十三届“全国大学生计算机应用能力与信息素养大赛”正式拉开帷幕。竞赛旨在培养学生计算机办公能力,促进学生核心素质的发展,深化教学改革,竞赛分为初赛、复赛和总决赛,我校选手主要在Microsoft-Word、Microsoft-Excel和Microsoft-PPT三个科目展开激烈的角逐。
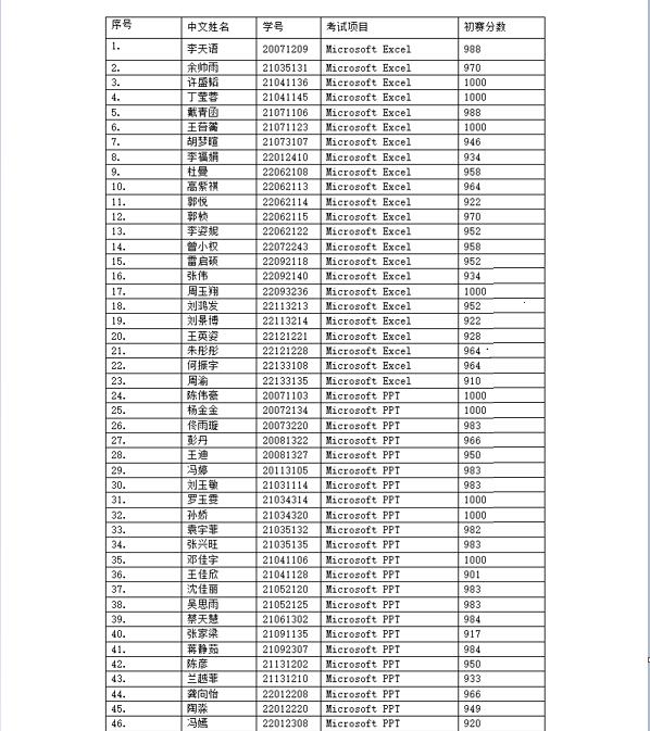
竞赛初赛于5月7日8:00开赛,在计算机基础教研部的精心策划,严密组织,各教研室教师的积极配合以及为期一周的竞赛辅导下,取得了阶段性的胜利。全校13个学院共计154位选手参赛,每位参赛选手都积极相应号召,反复练习,精心备赛。
最终在三科竞赛中有12位同学取得1000分满分,88位同学取得900分以上的成绩,80%的同学通过大赛初赛。后续还将在通过初赛的同学中选拔成绩优异者进入复赛及全国总决赛,希望同学们再接再厉,再创佳绩!
初审:姜涛 | 复审:王岩 | 终审:吴琼
地址 : 吉林省长春净月国家高新技术产业开发区 福祉大路1016号 | 邮编 : 130122 | 联系电话 : 0431-84528427
©2017-2024长春工业大学人文信息学院All Right Reserved.